부탄올: 성질, 반응, 생산 및 용도

n-부탄올 또는 부탄-1-올로도 알려진 부탄올은 화학식 C4H9OH를 가진 1차 알코올입니다. 이는 무색의 액체로, 탄 위스키 냄새와 유사한 강하고 불쾌한 냄새를 풍기는 것이 특징입니다.
부탄올은 자연계에서 결합된 형태로 존재하며, 발효 과정에서 생성되는 퓨젤유(fusel oils)에 농축되어 나타납니다. 산업적 생산은 1912년 탄수화물을 주로 아세톤과 1-부탄올로 전환시키는 박테리아인 클로스트리디움 아세토부틸리쿰(Clostridium acetobutylicum Weizmann)의 발견과 함께 시작되었습니다.
1-부탄올에 대한 수요가 증가함에 따라 다음과 같은 새로운 생산 방법들이 개발되었습니다.
- 크로톤알데하이드의 수소화: 아세트알데하이드의 알돌화 반응을 통해 형성됩니다.
- 레페 합성 (프로펜 카르보닐화): Reppe synthesis.
- n-부티르알데하이드의 수소화: 현재 가장 지배적인 방법인 프로펜 하이드로포밀화를 통해 쉽게 얻을 수 있습니다.
목차
1. 1-부탄올의 물리적 성질
n-부탄올은 독특한 냄새를 가진 무색 액체입니다. 그 증기는 점막을 자극하며, 고농도에서는 마취 효과를 나타냅니다. 일반적인 유기 용매와는 완전히 혼합됩니다.
표 1은 n-부탄올의 주요 물리적 성질을 정리한 것입니다.
| 성질 | 값 |
|---|---|
| 몰 질량 | 74.12 g/mol |
| 녹는점 | -89.3 °C |
| 끓는점 | 117.7 °C |
| 밀도 (20°C) | 0.8098 g/cm³ |
| 굴절률 (20°C) | 1.3991 |
| 점도 (20°C) | 3.0 mPa·s |
| 비열 (30–80°C) | 2.437 J g⁻¹ K⁻¹ |
| 증발열 | 591.64 J/g |
| 융해열 | 125.2 J/g |
| 연소열 | 36.111 kJ/g |
| 임계 압력 | 44.2 hPa |
| 임계 온도 | 289 °C |
| 표면 장력 (실온) | 22.3 mN/m |
| 유전 상수 (실온) | 17.8 |
| 증발 지수 (에테르 = 1) | 33 |
| 물에 대한 용해도 (20°C, wt%) | 7.7 wt% |
| 물에 대한 용해도 (30°C, wt%) | 7.08 wt% |
| 1-부탄올 내 물의 용해도 (20°C, wt%) | 20 wt% |
| 1-부탄올 내 물의 용해도 (30°C, wt%) | 20.62 wt% |
| 인화점 | 34 °C |
| 공기 중 폭발 한계, vol% | 1.4–11.3 |
| 발화 온도 | 380 °C |
2. 1-부탄올의 화학적 성질
1차 알코올인 1-부탄올은 광범위한 반응의 출발 물질로 작용하는 반응성 화학 물질입니다.
2.1. 1-부탄올의 탈수 반응
1-부탄올은 고온(300-350 °C)에서 γ-Al2O3와 같은 촉매를 사용하여 부텐 혼합물(1-부텐, 시스-2-부텐, 트랜스-2-부텐)로 탈수될 수 있습니다. 더 낮은 온도에서 탈수 촉매가 존재할 경우 디부틸 에테르가 생성됩니다.

2.2. 1-부탄올의 산화 반응
1-부탄올은 저온에서 황산 내 이산화망간(IV), 질산, 크롬산 또는 이산화셀레늄과 같은 산화제를 사용하거나, 고온에서 적절한 촉매를 사용하여 1-부탄알(부탄알)로 탈수소화될 수 있습니다.
n-부탄올을 카르복실산으로 산화시키는 반응은 275 °C에서 수산화나트륨과 반응시켜 수행할 수 있으며, 이때 수소 및 2-에틸헥산올과 함께 부티르산 나트륨염이 형성됩니다.

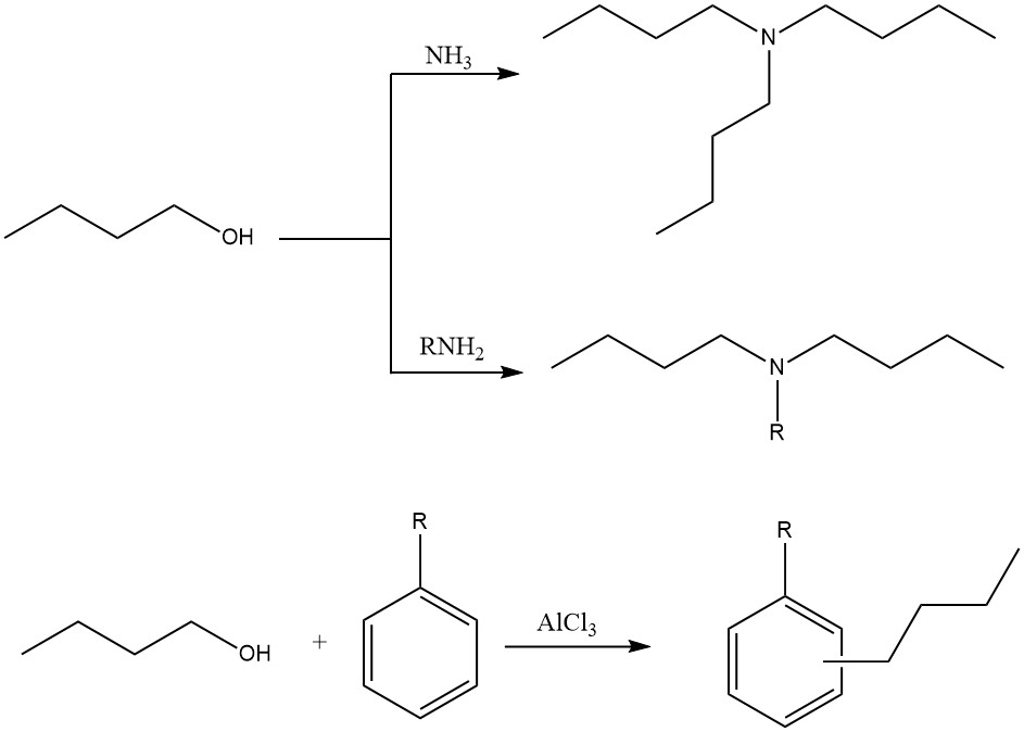
2.3. 알킬화 반응
1-부탄올은 암모니아 및 아민과 반응하여 N-알킬-, N,N-디알킬-, 또는 N,N,N-트리알킬아민을 생성하는 다양한 알킬화 반응에 사용될 수 있습니다. 또한 프리델-크래프트(Friedel–Crafts) 촉매를 사용하여 방향족 탄화수소의 고리 알킬화 반응에도 사용될 수 있습니다.

2.4. 1-부탄올의 에스테르화 반응
1-부탄올은 무기산 및 유기산과 반응하여 부틸 에스테르를 형성하며, 일반적으로 산 촉매 하에 반응이 진행됩니다. 또한 산 염화물(acid chlorides) 및 산 무수물(acid anhydrides)과도 에스테르를 생성할 수 있습니다.
3. 1-부탄올의 생산
1-부탄올을 생산하는 다양한 경로 중 산업적으로 다음 세 가지가 지배적입니다.
- 프로펜 하이드로포밀화 (옥소 합성)
- 레페 합성
- 크로톤알데하이드의 수소화
3.1. 옥소 합성에 의한 1-부탄올 생산
1-부탄올 생산에 사용되는 주요 방법은 프로펜의 하이드로포밀화와 그에 따른 알데하이드의 수소화입니다. 하이드로포밀화 과정에서는 Co, Rh 또는 Ru의 하이드로카르보닐 또는 치환된 하이드로카르보닐 촉매를 사용하여 액상에서 프로펜의 이중 결합에 일산화탄소와 수소를 첨가합니다.

이 첫 단계에서는 원래의 올레핀에 비해 탄소 원자가 하나 더 많은 알데하이드를 생성합니다. 일반적으로 프로펜의 경우 1-부탄알과 2-메틸프로판알과 같은 알데하이드의 이성질체 혼합물이 얻어집니다.
반응 조건(압력, 온도)과 촉매 시스템에 따라 다양한 하이드로포밀화 공정이 존재합니다.
1970년대 초반까지 존재했던 전통적인 고압법은 Co 촉매를 사용하여 20–30 × 106 Pa의 CO/H2 압력과 100–180 °C의 온도에서 작동합니다. 이 공정은 약 75%의 1-부탄올과 25%의 2-메틸-1-프로판올을 생성합니다.
최근의 발전으로 새로운 공정 변형이 도입되었습니다. 변형된 Rh 촉매를 사용하는 저압법(1–5 × 106 Pa)은 1-부탄올과 2-메틸-1-프로판올의 이성질체 비율이 약 92:8 또는 95:5로 나타납니다. 그러나 변형되지 않은 Rh를 사용하면 2-메틸-1-프로판올의 비율이 약 50%까지 증가할 수 있습니다.
알데하이드의 촉매 수소화는 후속 단계로, 해당 알코올을 형성하게 됩니다. 2010년 기준 부탄올의 주요 생산 업체로는 BASF, Oxea Group, Dow Chemical Company 등이 있습니다.
3.2. 레페 공정에 의한 1-부탄올 생산
1-부탄올 생산의 또 다른 방법은 1942년 레페(REPPE)가 발명한 기술인 프로펜의 카르보닐화입니다. 이 공정에서는 다핵 철 카르보닐 하이드라이드의 3차 암모늄염과 같은 촉매 존재 하에 압력을 가해 올레핀, 일산화탄소, 물을 반응시킵니다.

이 공정은 기존의 Co 촉매 하이드로포밀화와는 다른 반응 조건을 사용합니다. 더 낮은 온도(약 100 °C)와 감소된 압력(0.5–2 × 106 Pa)에서 프로펜으로부터 부탄올이 직접 형성됩니다.
옥소 합성법과 마찬가지로 일산화탄소는 이중 결합의 두 탄소 원자 모두에 첨가될 수 있습니다. 결과적으로 프로펜을 출발 물질로 사용하면 1-부탄올과 2-메틸-1-프로판올이 86:14의 비율로 얻어집니다.
사용되는 촉매인 카르보닐 트리페레이트(carbonyl triferrate)는 공기와 고온에 모두 민감합니다. 물과 CO2가 존재하면 탄산철로 분해됩니다.
충분한 반응 속도를 유지하기 위해 반응 용액 내 촉매 농도를 약 10%로 유지해야 하며, 이는 N-알킬피롤리딘과 같은 용해제를 사용하여 달성됩니다.
생성물의 유리한 n-iso 비율과 완만한 반응 조건에도 불구하고, 레페 공정은 공정 기술에 수반되는 높은 비용 때문에 Co 촉매를 이용한 프로펜 하이드로포밀화만큼 성공을 거두지는 못했습니다.
3.3. 크로톤알데하이드 수소화에 의한 1-부탄올 생산
20세기 중반까지 크로톤알데하이드로부터 1-부탄올을 생산하는 방법이 선호되었으나, 더 경쟁력 있는 공정들이 개발되면서 그 중요성을 잃었습니다.

이 공정은 다음과 같은 다단계 반응을 포함합니다.
- 알돌 축합: 아세트알데하이드가 상온 및 상압에서 알돌 축합을 거쳐 약 95%의 선택도와 60%의 전환율로 아세트알돌을 생성합니다. 반응하지 않은 아세트알데하이드는 회수하여 재사용할 수 있습니다.
- 탈수: 아세트산이나 인산으로 아세트알돌을 산성화하면 물이 제거되고 크로톤알데하이드 형성이 촉진됩니다. 이 단계에서 일차 증류물로서 거의 정량적인 수율의 크로톤알데하이드를 얻습니다.
- 수소화: 다양한 기상 및 액상 공정에서 구리 촉매를 사용하여 크로톤알데하이드를 1-부탄올로 효율적으로 수소화합니다. 아세트알데하이드 1350 kg당 약 1000 kg의 1-부탄올 수율이 가능합니다.
이 경로의 경제적 타당성은 원료 가격에 달려 있습니다. 옥소 합성의 주요 원료인 원유가 부족해지고 비싸짐에 따라, 발효를 통해 얻은 에탄올이 경쟁력 있는 대안으로 부상할 수 있습니다.
석유 자원이 부족한 열대 국가나 개발도상국에서 풍부하고 저렴한 바이오매스는 이 경로를 특히 매력적으로 만듭니다. 에탄올은 아세트알데하이드로 탈수소화되어 이 공정의 출발 물질로 사용될 수 있습니다.
3.4. 바이오매스 발효에 의한 1-부탄올 생산
바이오매스 발효를 통한 1-부탄올 생산은 20세기를 지배했던 두드러진 산업 공정이었습니다. 1914년 하임 바이츠만(Chaim Weizmann)이 클로스트리디움 아세토부틸리쿰을 분리한 것을 시작으로, 이른바 ABE 발효(아세톤, 부탄올, 에탄올)는 에탄올 발효에 이어 두 번째로 큰 생명공학 공정이 되었습니다.
고전적인 ABE 발효는 옥수수 매쉬나 당밀과 같은 전분 함유 바이오매스를 기질로 사용하여 40~60시간 동안 진행되는 배치(batch) 공정을 사용했습니다. 제품은 증류를 통해 회수 및 분획되었으며, 기질 100 kg당 총 25~33 kg의 수율을 보였습니다.
용매 농도는 12~20 g/L에 달했으며, 최대 부탄올 농도는 14 g/L였습니다. 그러나 20세기 후반 낮은 원유 가격과 높은 기질 비용으로 인해 산업용 ABE 발효는 쇠퇴하였고, 2004년 남아프리카 공화국과 중국의 마지막 공장이 문을 닫았습니다.
하지만 바이오 연료와 화학 물질에 대한 관심이 높아지면서 특히 부탄올을 위한 ABE 발효에 대한 상업적 관심이 다시 시작되었습니다. 브라질과 중국에 새로운 발효 공장이 생겨났고, Gevo나 Butamax와 같은 기업들은 재생 가능한 원료로부터 부탄올 생산을 활발히 연구하고 있습니다.
연구 노력은 부탄올 수율을 단일 발효 산물로서 극대화하고, 생산 유기체의 부탄올 내성을 강화하며, 셀룰로오스나 헤미셀룰로오스와 같은 비식량 기질을 탐색하는 데 집중되어 있습니다.
이론적으로 C. 아세토부틸리쿰은 발효 경로를 통해 포도당 1g당 0.41g의 부탄올을 생성할 수 있습니다. 연구자들은 대사 공학 및 유전자 전달을 활용하여 E. coli와 같은 다른 유기체에서 부탄올 생산을 향상시키고 부탄올/아세톤 비율을 높이기 위해 개선된 균주와 성장 조건을 조사하고 있습니다.
4. 1-부탄올의 용도
미국에서는 1-부탄올의 약 85%가 주로 표면 코팅제에 사용됩니다. 바니시의 용매로 직접 사용되거나 유도체 용매 또는 단량체로 전환됩니다. 니트로셀룰로오스 래커 생산을 위해 톨루엔, 에탄올 또는 특정 에스테르와 혼합되며 단독으로 희석제(thinner)로 사용되기도 합니다.
1-부탄올은 희석제, 특히 휘발성 희석제에 의해 발생하는 “블러싱(blushing, 원치 않는 흰색 불투명 현상)”을 방지하기 위해 5-10% 농도로 첨가됩니다.
이는 바니시의 점도를 조절하고 유동성을 개선하며, 알코올 가용성 검/수지 페인트 및 래커의 줄무늬 발생을 줄이는 데 도움을 줍니다.
1-부탄올은 폴리스티렌 및 염화 고무용 일반 용매(주로 포화 카르복실산 에스테르, 특히 아세테이트)를 희석하기 위해 최대 20%의 혼합물로 사용됩니다.
1-부탄올 아크릴 에스테르는 내구성과 비용 효율성 덕분에 1990년대 이후 큰 중요성을 얻은 라텍스 페인트의 핵심 성분입니다.
프탈산, 아디프산, 세바스산, 올레산, 아젤라산, 스테아르산 및 인산의 부틸 에스테르는 표면 코팅의 가소제 및 첨가제 역할을 하며, 디-1-부틸 프탈레이트(DBP)가 가장 중요합니다.
1-부탄올은 특히 미국, 독일, 벨기에에서 부틸아민 생산에 사용됩니다. 또한 아크릴 섬유 방사 및 폴리비닐알코올 섬유 염색 시 응고욕으로도 작용합니다.
5. 1-부탄올의 독성학
급성 독성:
- 1-부탄올은 중등도의 독성을 나타내며, 보고된 최저 치사량은 790 mg/kg(경구, 쥐) 및 3400 mg/kg(경피, 토끼)입니다.
- 고농도 흡입은 호흡기 및 눈 자극, 운동 실조 및 마취를 유발할 수 있습니다.
- 1-부탄올과 눈이 직접 접촉하면 심한 각막 자극을 유발합니다.
- 유전자 테스트(Ames test)에서 비변이원성 성질을 나타냅니다.
만성 효과:
- 200 ppm 이상의 1-부탄올 증기에 대한 직업적 노출은 각막 염증, 타는 듯한 느낌, 시력 저하 및 청력 손실과 관련이 있습니다.
- 100 ppm에서 반복 노출되면 가벼운 눈 자극을 유발할 수 있습니다.
- 피부와 직접 접촉하면 손가락과 손에 피부염이 발생할 수 있습니다.
노출 한도:
- TLV 천장 한도: 50 ppm (피부) [ACGIH]
- 최대 허용 농도 (MAK 값): 100 mL/m³ [독일]
참고 문헌
1. Butanols; Ullmann’s Encyclopedia of Industrial Chemistry. – https://onlinelibrary.wiley.com/doi/10.1002/14356007.a04_463.pub3
2. Butyl Alcohols; Kirk-Othmer Encyclopedia of Chemical Technology. – https://onlinelibrary.wiley.com/doi/abs/10.1002/0471238961.0221202502091212.a01.pub2
