산업 공정에서의 화학 반응

화학 반응은 많은 산업 공정의 근본적인 측면입니다. 이러한 반응은 하나 이상의 물질을 새로운 생성물로 변환하는 과정을 포함하며, 연료, 플라스틱, 의약품 등 광범위한 물질을 생산하는 데 사용됩니다.
화학 반응의 원리를 이해하는 것은 산업 공정을 설계하고 최적화하는 엔지니어와 화학자들에게 매우 중요합니다.
산업 공정에서 발생하는 화학 반응에는 연소, 산화-환원 반응, 중합, 수소화, 카르보닐화, 아실화, 알킬화, 니트로화, 탈수소화, 에스테르화, 설폰화 등이 있습니다.
목차
- 1. 연소 반응
- 2. 산화-환원 반응
- 3. 중합 반응
- 4. 산화 반응
- 5. 수소화 반응
- 6. 카르보닐화 반응
- 7. 아실화 반응
- 8. 알킬화 반응
- 9. 니트로화 반응
- 10. 탈수소화 반응
- 11. 에스테르화 반응
- 12. 설폰화 반응
- 참고 문헌
1. 연소 반응
연소 반응은 완전 연소와 불완전 연소의 두 가지 범주로 분류할 수 있습니다. 완전 연소에서는 연료가 완전히 연소되어 최종 생성물로 이산화탄소와 물만을 생성합니다.
반면, 불완전 연소는 연료가 완전히 타지 않을 때 발생하며, 일산화탄소, 그을음 및 기타 오염 물질의 혼합물을 생성합니다.

산업 공정에서는 최대 에너지를 생산하고 오염 물질을 최소화하기 때문에 완전 연소가 바람직합니다. 그러나 점화가 어렵거나 연소 효율이 낮은 연료를 태울 때는 완전 연소를 달성하는 것이 어려울 수 있습니다.
연소 반응을 최적화하려면 반응의 양론, 연소 온도, 연료와 산화제의 혼합 등 여러 요인을 고려해야 합니다.
반응의 양론은 완전 연소를 달성하는 데 필요한 반응물의 비율을 의미합니다. 연소 온도는 반응 속도와 최종 생성물의 품질에 영향을 미치기 때문에 매우 중요합니다.
연료와 산화제의 혼합 또한 반응 효율과 최종 생성물의 품질에 영향을 미치므로 필수적입니다.
산업 공정 외에도 연소 반응은 산불이나 화산 폭발과 같은 많은 자연 현상과 관련이 있습니다. 이러한 반응은 대기 오염 및 지구 온난화와 같은 중대한 환경적 영향을 미칠 수 있습니다.
연소 반응의 환경적 영향을 줄이기 위해 연소 효율을 개선하고 오염 물질을 적게 배출하는 더 깨끗한 기술을 개발하려는 많은 노력이 이루어지고 있습니다.
2. 산화-환원 반응
산화-환원 반응(Redox 반응)은 두 종 사이의 전자 이동을 포함합니다. 산화 반응에서는 어떤 종이 전자를 잃고, 환원 반응에서는 어떤 종이 전자를 얻습니다.

이러한 반응은 금속 생산, 전기 도금, 화학 물질 및 연료 생산과 같은 많은 산업 공정에서 필수적입니다. 전기 화학 반응의 중요한 산업적 용도로는 NaCl의 전기 분해를 통한 수산화나트륨 생산, 기타 알칼리 금속 수산화물 생산 및 표백제 생산 등이 있습니다.
산화-환원 반응은 자연적으로 발생하는지 또는 진행을 위해 에너지 입력이 필요한지에 따라 자발적 반응과 비자발적 반응으로 분류할 수 있습니다. 자발적 산화-환원 반응은 외부 에너지 입력 없이 발생하며 배터리 및 기타 에너지 저장 장치에 자주 사용됩니다.
반면 비자발적 산화-환원 반응은 진행을 위해 외부 에너지원이 필요하며 전기 분해 및 기타 화학 공정에 사용됩니다.
산화-환원 반응의 흔한 예 중 하나는 앞서 언급한 철의 부식(녹)입니다. 이 반응에서 철은 산소와 반응하여 우리가 흔히 녹이라고 부르는 붉은 갈색 물질인 산화철을 생성합니다.
녹이 스는 것은 철이 산소에게 전자를 잃는 산화 반응의 예입니다. 이 반응은 금속 부식의 주요 원인이며 수리나 교체에 막대한 비용이 들 수 있기 때문에 중요합니다.
산화-환원 반응의 또 다른 예는 플라스틱 및 기타 재료 생산에 사용되는 염소 가스의 생산입니다. 염소 가스는 소금물의 전기 분해로 생산되며, 이는 진행을 위해 외부 에너지원이 필요한 비자발적 산화-환원 반응입니다.
이 반응에서 소금물의 염화 이온은 산화되어 염소 가스와 수소 가스를 생성합니다. 염소 가스는 강력한 산화제이며 살충제, 의약품, 플라스틱 생산을 포함한 많은 산업 공정에 사용됩니다.
3. 중합 반응
중합 반응은 단량체(monomer) 분자들이 화학적으로 결합하여 중합체(polymer) 사슬을 형성하는 화학 반응의 한 유형입니다. 결과물인 중합체는 플라스틱과 합성 섬유부터 접착제와 코팅제에 이르기까지 매우 다양한 성질과 용도를 가질 수 있습니다.

중합 반응에는 부가 중합과 축합 중합이라는 두 가지 주요 유형이 있습니다. 부가 중합에서는 이중 결합을 가진 단량체들이 서로 반응하여 중합체 사슬을 형성합니다.
이 반응은 일반적으로 촉매나 열에 의해 시작되며, 생성된 중합체는 원래 단량체의 반복 단위로 이루어진 긴 사슬입니다. 반면 축합 중합은 공유 결합을 형성하기 위해 반응하는 작용기를 가진 두 가지 다른 단량체의 반응을 포함합니다. 이 유형의 반응에서는 일반적으로 물과 같은 작은 분자가 부산물로 생성됩니다.
중합 반응은 플라스틱 및 합성 섬유 생산에서부터 의료용 이식재 및 약물 전달을 위한 신소재 개발에 이르기까지 광범위한 산업 분야에서 사용됩니다.
중합 반응의 한 예는 세계에서 가장 널리 사용되는 플라스틱인 폴리에틸렌의 생산입니다. 폴리에틸렌은 에틸렌 단량체의 부가 중합으로 생산되며, 이는 포장에서 건축 자재에 이르기까지 광범위한 응용 분야에서 사용될 수 있는 긴 사슬 중합체를 형성합니다.
중합 반응의 또 다른 예는 섬유 및 기타 용도에 사용되는 합성 섬유인 나일론의 생산입니다. 나일론은 헥사메틸렌디아민과 아디프산이라는 두 단량체의 축합 중합으로 생산되며, 이들이 반응하여 중합체 사슬을 형성합니다. 나일론은 강도와 내구성이 뛰어난 것으로 알려져 있으며 의류에서 자동차 부품에 이르기까지 광범위하게 사용됩니다.
4. 산화 반응
산화 반응은 분자가 전자를 잃는 반응입니다. 이는 종종 산소 원자를 얻는 과정과 병행되지만 항상 그런 것은 아닙니다. 주요 측면은 다음과 같습니다.
- 전자 이동: 산화의 핵심 원리는 분자에서 전자가 소실되는 것입니다. 음전하를 제거하여 분자를 더 “양의” 전하로 만드는 것으로 생각할 수 있습니다.
- 산소와의 연결: 종종 산소 원자를 얻는 것과 연관되지만, 산화 반응에 산소가 반드시 필요한 것은 아닙니다. 그러나 산소는 강한 전기 음성도 때문에 전자를 끌어당기는 친화력이 높아 흔한 산화제로 쓰입니다.
분자 산소(O2), 과산화수소(H2O2), 염소(Cl2)와 같이 화학 산업에서 사용되는 다양한 산화제들은 대상 분자로부터 전자를 받아들입니다. 산화제의 선택은 비용, 선택성, 반응 조건과 같은 요인에 따라 달라집니다.
산업용 촉매는 스스로 소모되지 않으면서 반응 속도를 높입니다. 구리, 망간, 바나듐과 같은 전이 금속이 자주 사용됩니다. 이들은 선택성을 높이고 에너지 소비를 줄이며 공정 효율을 개선할 수 있습니다.
산화 반응은 다양한 산업에서 사용됩니다.
1. 벌크 화학 물질 생산:
- 아크릴산은 아크릴 섬유, 페인트, 접착제에 중요합니다. 금속 산화물 촉매상에서 공기로 프로필렌을 산화시켜 생산합니다.
- 테레프탈산은 PET 플라스틱의 구성 요소입니다. 공기나 산소를 사용하여 p-자일렌을 액상 산화시켜 제조합니다.
- 질산은 비료, 폭약, 나일론 생산에 사용됩니다. 백금-로듐 촉매상에서 공기로 암모니아를 산화시키는 오스트발트 공정을 통해 합성됩니다.
2. 정밀 화학 및 의약품:
- 선택적 산화: 복잡한 분자 내의 특정 작용기를 정밀하게 변경하는 것은 의약품 합성에 매우 중요합니다. 효소나 전이 금속 촉매는 부반응을 최소화하면서 표적 산화를 가능하게 합니다.
- 하이드록실화: 많은 의약품에 하이드록실기를 도입하는 것이 필수적입니다. 샤플리스 비대칭 디하이드록실화와 같은 방법은 높은 입체 제어를 위해 카이랄 촉매를 활용합니다.
3. 환경 정화:
- 폐수 처리: 오존이나 과산화물을 이용한 산화는 물을 효과적으로 소독하고 유기 오염 물질을 분해합니다.
- 연도 가스 탈황: 발전소 배출가스에서 황산화물을 제거하는 과정에는 수산화칼슘과 같은 산화제를 이용한 습식 세정이 포함됩니다.
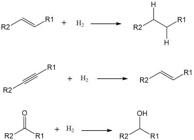
5. 수소화 반응
수소화 반응은 분자가 수소 원자를 얻는 환원 반응의 특정 유형입니다. 이는 종종 촉매 존재 하에 발생하며, 반응 분자 내의 불포화 결합(일반적으로 이중 또는 삼중 결합)의 포화를 초래합니다.

분자에 수소 원자(H)를 추가하면 포화도가 높아지고 반응성이 낮아집니다. 일부 수소화는 촉매 없이 고온에서 발생할 수 있지만, 촉매를 사용하면 활성화 에너지가 크게 낮아져 더 온화한 조건에서 반응 속도가 빨라집니다. 니켈, 팔라듐, 백금과 같은 전이 금속이 수소화의 일반적인 촉매입니다.
수소화는 일반적으로 이중 및 삼중 결합을 표적으로 하여 단일 결합으로 변환합니다. 예시는 다음과 같습니다.
- 알켄에서 알칸으로: 에틸렌(C2H4)과 같은 불포화 탄화수소를 에탄(C2H6)과 같은 포화 탄화수소로 변환합니다.
- 알킨에서 알켄으로: 아세틸렌(C2H2)과 같은 삼중 결합 탄화수소를 에틸렌과 같은 이중 결합 알켄으로 변환합니다.
- 카르보닐기에서 알코올로: 카르보닐기(C=O)가 있는 케톤과 알데하이드를 하이드록실기(OH)가 있는 알코올로 환원합니다.
수소화 반응은 다양한 산업에서 사용됩니다.
- 식물성 기름 가공: 마가린 생산을 위해 불포화 지방을 포화 지방으로 전환하여 액체 기름을 경화시킵니다.
- 연료 정제: 가솔린과 디젤 연료의 황을 제거하고 품질을 개선합니다.
- 의약품 생산: 다양한 의약품 및 정밀 화학 물질을 합성합니다.
수소화는 다음 분야에서도 사용됩니다.
- 식품 및 음료 산업: 식품용 지방과 기름 가공.
- 중합: 특정 성질을 가진 중합체 제조.
- 수소 연료 전지: 수소와 산소를 전기로 변환.
6. 카르보닐화 반응

카르보닐화는 로듐, 이리듐, 팔라듐 또는 니켈과 같은 전이 금속 촉매를 사용하여 유기 분자에 일산화탄소(CO)를 추가하는 유기 합성의 일반적인 방법입니다. 이 촉매들은 CO 분자를 결합 및 활성화하여 반응성을 높이고 유기 기질에 통합될 수 있도록 합니다.
이는 매우 선택적인 반응으로, 부반응을 최소화하면서 분자의 원하는 위치에 CO 분자를 정밀하게 추가할 수 있음을 의미합니다.
덕분에 다음과 같은 광범위하고 중요한 화학 물질 생산에 가치가 높습니다.
- 아세트산: 전 세계 합성 아세트산의 70% 이상이 로듐 또는 이리듐 촉매를 이용한 메탄올 카르보닐화로 생산됩니다.
- 아미노산 유도체: 아미도카르보닐화는 의약품 및 기타 산업에 사용되는 가치 있는 아미노산 유도체를 만드는 분야로 관심이 높아지고 있습니다.
- 의약품 중간체: 방향족 할로겐화물의 카르보닐화는 약물 및 기타 생체 활성 분자의 중요한 구성 요소를 만드는 표준 절차로 부상하고 있습니다.
7. 아실화 반응

프리델-크래프트 아실화는 방향족 화합물과 아실화제(아실 할라이드, 산 무수물, 산 또는 에스테르) 사이의 반응에 의해 방향족 케톤을 생산하는 과정을 포함합니다. 이 반응은 산성 촉매 존재 하에 진행됩니다.
방향족 기질의 아실화는 의약품, 살충제, 가소제, 염료, 향수 및 기타 다양한 상업적 제품 제조에 널리 사용되는 방향족 중간체 합성에 활용되기 때문에 상당한 산업적 중요성을 갖습니다. 이러한 특수 화합물은 일반적으로 알킬화 제품에 비해 작은 규모로 생산됩니다.
프리델-크래프트 아실화로 생산되는 방향족 케톤은 다음과 같습니다.
| 아실화제 | 방향족 화합물 | 생성물 | 최종 용도 |
|---|---|---|---|
| 무수 아세트산 | 벤젠 | 아세토페논 | 향수, 의약품, 용매, 가소제 |
| 무수 아세트산 | 톨루엔 | 4-메틸아세토페논 | 향수 |
| 무수 아세트산 | 아니솔 | 4-메톡시아세토페논 | 향수 |
| 무수 아세트산 | 이소부틸벤젠 | 4-이소부틸아세토페논 | 의약품 |
| 디클로로아세틸 클로라이드 | 1,2-디클로로벤젠 | $\alpha, \alpha, 2,4$-테트라클로로아세토페논 | 살충제 |
| 클로로부티로일 클로라이드 | 플루오로벤젠 | 클로로프로필 4-플루오로페닐 케톤 | 의약품 |
| 사염화탄소 | 벤젠 | 벤조페논 | 의약품, 살충제, 향수 |
| 벤조일 클로라이드 | 벤젠 | 벤조페논 | – |
| 포스겐 | N,N-디메틸아닐린 | 4,4′-비스-디메틸아미노벤조페논 | 염료 |
| 무수 프탈산 | 벤젠 | 2-벤조일벤조산 | 안트라퀴논 |
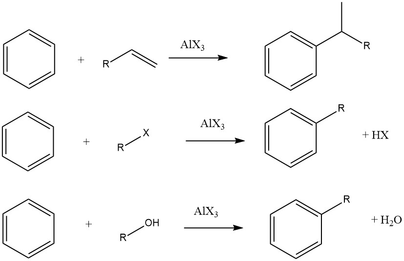
8. 알킬화 반응
방향족 화합물의 프리델-크래프트 알킬화는 알킬기가 방향족 수소를 대체하는 산 촉매 친전자성 치환 반응을 포함합니다. 올레핀, 알킬 할라이드, 알코올 등 다양한 알킬화제가 이 목적으로 흔히 사용됩니다.
이 반응은 헤테로 방향족 화합물이나 페로센 같은 화합물을 포함한 다양한 방향족 기질에 적용될 수 있습니다. 이러한 반응은 일반적으로 빠르고 발열적이며, 종종 액상에서 온화한 조건 하에 수행됩니다.
그러나 일부 기질의 경우 더 엄격한 조건을 가진 기상 공정이 활용되기도 합니다. 올레핀, 알킬 할라이드, 알코올이 알킬화제로 사용될 때의 전반적인 반응은 다음과 같습니다.

알킬 부분의 이성질화 정도와 부가 과정 중의 마르코프니코프 법칙 준수 여부는 촉매의 산도에 따라 달라집니다.
알킬화 반응의 사용 예로는 벤젠으로부터 에틸벤젠, 쿠멘 및 알킬벤젠의 생산, 톨루엔을 프로펜으로 알킬화하여 사이멘 생산, 페놀을 알킬화하여 알킬페놀 생산, 퓨란, 티오펜, N-헤테로 고리를 포함한 다양한 헤테로 고리 방향족 화합물의 알킬화 등이 있습니다.
9. 니트로화 반응
니트로화 반응은 수소 원자를 대체하여 방향족 핵에 하나 이상의 니트로(NO2) 작용기를 비가역적으로 도입하는 반응입니다.
니트로화는 친전자성 치환 반응이며 다음과 같은 식으로 나타낼 수 있습니다.

니트로기의 도입은 고리를 추가적인 친전자성 치환으로부터 불활성화시키기 때문에, 모노니트로화 조건 하에서 디니트로화가 일어나는 경우는 드뭅니다.
디니트로화에는 보통 더 과량의 강산과 고온 등 더 강력한 조건이 필요합니다. 이러한 조건은 종종 제자리(in situ)에서 단계별 반응을 수행하기보다는 분리된 모노니트로 화합물에 적용됩니다.
니트로화 반응은 매우 발열적이며, 이는 벤젠의 모노니트로화($\Delta H = -117 \text{ kJ/mol}$)와 나프탈렌($\Delta H = -209 \text{ kJ/mol}$)에서 확인할 수 있습니다. 결과적으로 이는 산업적으로 운영되는 단위 공정 중 가장 잠재적으로 위험한 공정 중 하나입니다.
니트로화의 주요 생성물은 방향족 핵에 하나의 니트로기가 도입된 일치환 니트로 방향족 화합물입니다. 니트로화의 중요한 산업 생성물은 다음과 같습니다.
- 니트로벤젠 (C6H5NO2)
- 니트로톨루엔 (예: o-니트로톨루엔, m-니트로톨루엔, p-니트로톨루엔)
- 니트로나프탈렌 (예: 알파-니트로나프탈렌, 베타-니트로나프탈렌)
- 니트로페놀 (예: o-니트로페놀, m-니트로페놀, p-니트로페놀)
- 니트로아닐린 (예: o-니트로아닐린, m-니트로아닐린, p-니트로아닐린)
10. 탈수소화 반응
수소화의 반대인 탈수소화는 일반적으로 유기 분자에서 수소(H)를 제거하는 화학 반응을 의미합니다. 이 겉보기에 단순한 과정은 기초 실험실 반응부터 대규모 산업 공정에 이르기까지 화학의 다양한 측면에서 중요한 역할을 합니다.
이 반응은 C-H 결합을 끊어 H2 가스를 방출하며, 종종 흡열 반응이어서 활성화 에너지 장벽을 극복하기 위해 열이나 특정 촉매가 필요합니다.
탈수소화는 다음을 위해 화학 산업에서 중요한 반응입니다.
1. 가치 있는 화학 물질 생산: 탈수소화는 다음과 같은 수많은 제품을 만드는 데 필수적입니다.
- 스티렌: 폴리스티렌 플라스틱의 단량체로, 에틸벤젠 탈수소화로 생산됩니다.
- 알켄: 중합체, 연료, 윤활유 생산의 추가 반응에 사용되는 불포화 탄화수소입니다.
- 정밀 화학: 의약품, 농약 및 기타 특수 분자들은 종종 탈수소화 단계를 포함합니다.
2. 에너지 분야에서 경질 탄화수소의 촉매 탈수소화는 전통적인 방법에 비해 더 깨끗한 연료 생산의 가능성을 제공합니다.
3. 탈수: 알코올에서 물(H2O)을 제거하는 것은 탈수소화의 특별한 경우로, 물 분자를 제거하여 알켄을 형성합니다.
11. 에스테르화 반응
에스테르화는 촉매 존재 하에 카르복실산과 알코올이 반응하여 에스테르와 물을 생성하는 가역 반응입니다.
에스테르화 반응은 3단계 메커니즘을 통해 진행됩니다.
- 양성자화: 브뢴스테드 산 촉매가 카르복실산의 카르보닐 산소를 양성자화하여 친전자적 성격을 강화합니다.
- 친핵성 공격: 알코올의 산소 원자가 친핵체로 작용하여 친전자성 카르보닐 탄소를 공격하고 사면체 중간체를 형성합니다.
- 탈양성자화 및 물 소실: 중간체는 종종 촉매에 의해 탈양성자화를 거친 후 물이 제거되어 에스테르가 형성되고 물이 부산물로 남습니다.
에스테르화는 평형 반응이며, 르 샤틀리에의 원리에 따라 에스테르 수율을 높이는 전략이 결정됩니다. 과량의 알코올 사용, 물 제거(예: 증류를 통해), 온도 최적화는 모두 평형을 에스테르 형성 쪽으로 이동시킬 수 있습니다.
에스테르화 반응은 광범위한 응용 분야를 가집니다.
- 향료 및 화장품: 에스테르는 과일, 꽃, 향수의 기분 좋은 향기에 크게 기여합니다.
- 의약품: 아스피린과 페니실린을 포함한 수많은 약물이 에스테르 기능을 포함합니다.
- 중합체: 중합체의 일종인 폴리에스테르는 에스테르화 반응을 통해 형성되며 다양한 플라스틱과 합성 섬유에 사용됩니다.
- 바이오 연료: 에스테르화는 바이오디젤과 같은 바이오 연료 생산에 활용됩니다.
- 식품 첨가물: 에스테르는 특정 식품의 질감과 풍미에 기여합니다.
12. 설폰화 반응
설폰화는 방향족 화합물에 설폰산기(-SO2OH)를 도입하는 다용도 유기 반응입니다. 이 변환은 세제, 염료, 의약품 합성을 포함한 다양한 분야에서 중대한 중요성을 갖습니다.
설폰화는 전형적으로 친전자성 방향족 치환(EAS) 메커니즘을 통해 진행됩니다. 주요 단계는 다음과 같습니다.
- 친전자체 형성: 삼산화황(SO3) 또는 발연 황산(H2SO4 + SO3)이 설폰화제로 작용하여 친전자성 SO3 분자를 생성합니다.
- 방향족 친전자성 치환: SO3 친전자체가 방향족 고리의 전자 밀도가 높은 $\pi$ 구름을 공격하여 $\sigma$ 착물 중간체를 형성합니다.
- 탈양성자화 및 탈설폰화: 중간체가 양성자를 잃어 아릴설폰산 생성물이 형성됩니다.
그러나 설폰화는 종종 가역적입니다. 산성 조건과 높은 온도에서 설폰산기는 탈설폰화를 거쳐 원래의 방향족 화합물과 이산화황을 방출할 수 있습니다.
설폰화는 다양한 산업 및 생물학적 관련 분자 합성에 수많은 응용 분야를 가집니다.
- 세제: 널리 사용되는 음이온 계면 활성제인 도데실벤젠설폰산 나트륨(SDS)은 도데실벤젠을 설폰화하여 생산됩니다.
- 염료: 설폰화 아조 염료는 선명한 색상을 나타내며 다양한 섬유 응용 분야에 사용됩니다.
- 의약품: 항생제의 일종인 설폰아미드는 항균 활성을 위해 설폰산기의 존재에 의존합니다.
이러한 예 외에도 설폰화는 이온 교환 수지, 식품 첨가물, 농약 등 수많은 다른 화합물의 합성에서 중요한 역할을 합니다.
참고 문헌
- Callister, W. D., & Rethwisch, D. G. (2018). Materials Science and Engineering: An Introduction. Wiley.
- Chang, R. (2010). Chemistry (10th ed.). McGraw-Hill.
- Emsley, J. (2011). Nature’s Building Blocks: An A-Z Guide to the Elements. Oxford University Press.
- Green, J. (2018). An Introduction to the Chemical Process Industry. CRC Press.
- Kiehl, J. T. (2013). Industrial Chemical Processes: An Introduction. John Wiley & Sons.
- Meyers, R. A. (Ed.). (2001). Encyclopedia of Analytical Chemistry. Wiley.
- Seader, J. D., & Henley, E. J. (2011). Separation Process Principles. Wiley.
- Smith, J. M., Van Ness, H. C., & Abbott, M. M. (2005). Introduction to Chemical Engineering Thermodynamics (7th ed.). McGraw-Hill.
- Sperling, L. H. (Ed.). (2018). Introduction to Physical Polymer Science (4th ed.). Wiley.
- Turton, R., Bailie,R. C., Whiting, W. B., & Shaeiwitz, J. A. (2018). Analysis, Synthesis, and Design of Chemical Processes (5th ed.). Pearson.
